星标“医工学人”,第一时间获取医工交叉领域新闻动态~

在过去十年中,临床医生评估患者未来十年内心脏病发作或中风风险的标准工具,是2013年由美国心脏病学会/美国心脏协会(ACC/AHA)发布的汇集队列方程(Pooled Cohort Equations, PCE)。然而,这个基于上世纪90年代数据的模型,在应用于当代人群时,其局限性日益凸显——最主要的问题是它倾向于系统性地高估风险,并且依赖“种族”这一充满争议的生物学变量。
现在,一场无声的革命正在发生。美国心脏协会(AHA)推出了其继任者——PREVENT(Predicting Risk of Cardiovascular Disease EVENTs)风险预测方程。这并非一次简单的增量更新,而是一次基于超过600万多样化和当代人群数据的根本性重新设计。PREVENT的核心理念源于对心血管-肾脏-代谢(Cardiovascular-Kidney-Metabolic, CKM)健康的全新理解,它将心脏、肾脏和代谢系统视为一个相互关联的整体。PREVENT的优越性不仅在于其预测的准确校准,更在于其前瞻性地整合了肾脏健康和社会决定因素等新维度,这代表了预防医学领域的一个关键转折点。
近期发表在《自然-医学》(Nature Medicine)上的一项里程碑式研究,为PREVENT的临床价值提供了迄今为止最强有力的证据。该研究题为”Performance of the American Heart Association’s PREVENT risk score for cardiovascular risk prediction in a multiethnic population”(美国心脏协会PREVENT风险评分在多民族人群中进行心血管风险预测的表现),其分析对象是超过250万美国退伍军人的庞大、真实世界队列,覆盖了多个族裔群体。研究的核心目标是在这个多样化的人群中检验PREVENT的性能,并将其与沿用已久的PCE进行正面比较。

1)核心发现一:校准度是关键——新旧模型的正面交锋
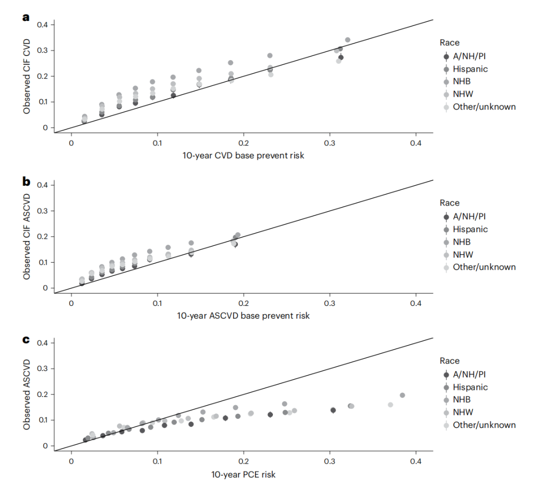
评估一个预测模型,通常有两个关键指标:区分度(Discrimination)和校准度(Calibration)。区分度衡量模型区分高风险和低风险个体的能力,而校准度则衡量模型预测的事件发生率与实际观察到的事件发生率之间的一致性。

该研究的数据揭示了一个核心发现:在预测动脉粥样硬化性心血管病(ASCVD)方面,PREVENT和PCE的区分度相近。然而,在校准度上,两者表现出天壤之别。PREVENT的校准斜率(理想值为1.0)为1.15,意味着其预测结果与真实情况高度吻合。相比之下,PCE的校准斜率仅为0.51,这表明PCE严重高估了风险——其预测的事件数几乎是实际发生数的两倍。其他研究也证实了这一趋势,显示PCE可能将风险高估近50%。一个能够正确排序患者风险但给出的绝对风险值却错得离谱的模型,在临床上是危险的,因为它会导致系统性的过度治疗。PREVENT的核心优势在于它能给出一个更准确的“绝对风险值”,而这个数值正是启动药物治疗(如他汀类药物)的决策基础。

2)核心发现二:跨越种族鸿沟——在不同族裔中的一致性表现
PREVENT最引人注目的设计变革之一,是移除了“种族”作为风险计算的输入变量,其背后的科学共识是,种族是一个社会学概念,而非严谨的生物学因素。PREVENT用更直接、更具生物学和社会学意义的指标取而代之,它纳入了估算肾小球滤过率(eGFR),并可选地引入了社会剥夺指数(Social Deprivation Index, SDI),这是一个直接衡量社会经济压力的指标。
该研究验证了这一设计的优越性。结果显示,PREVENT在不同种族和族裔群体中表现出良好的一致性,其对总体心血管疾病(CVD)的预测能力在亚裔/太平洋岛民、西班牙裔、非裔美国人和非西班牙裔白人中均表现稳定。更重要的是,PREVENT相对于PCE的优越校准度在所有族裔群体中都得以保持。这标志着从关注粗略的相关性(种族)到探究根本驱动因素(社会经济因素、肾脏健康)的范式转变,有助于更公平地评估健康风险。

3)核心发现三:风险的重新分配——对临床决策的潜在影响
一个更准确的工具,如果沿用旧的规则,可能会带来新的问题。研究估计,如果直接套用现有的治疗门槛,PREVENT的应用将导致约1430万美国成年人不再被推荐使用他汀类药物。一项在MESA(多种族动脉粥样硬化研究)队列中的研究发现,42%的个体将被重新归类到更低的ASCVD风险等级。
这种大规模的风险重新分类也带来了潜在的风险。同一项研究预测,治疗人数的减少可能在未来10年内导致额外10.7万例心肌梗死或中风事件的发生。在针对已发生过心梗的年轻成年人的研究中,PREVENT给出的10年风险评估值也低得惊人,可能导致对高危年轻群体的治疗不足。这揭示了一个关键的临床困境:我们拥有了一把更精准的“尺子”(PREVENT),但刻度线(治疗阈值)却可能画在了错误的位置。这使得临床医生与患者之间的共同决策、生活方式干预以及对30年长期风险的关注变得前所未有地重要。
1)新算法的生态系统:从临床实践到商业创新
一个卓越的算法,其价值最终体现在能否无缝融入复杂的现实世界。PREVENT的推出,正在催生一个涵盖临床工作流程、社会健康数据应用和数字健康创新的全新生态系统。
临床工作流的“最后一公里”:将PREVENT嵌入电子病历(EHR)系统(如Epic和Cerner)是其普及的关键。这需要借助现代的互操作性标准(如HL7 FHIR API)实现数据的自动提取和计算结果的实时呈现。然而,技术整合只是第一步,真正的挑战在于变革管理、工作流程优化和用户培训,以确保工具被正确采纳。
超越传统指标:PREVENT创新性地引入了社会剥夺指数(SDI),这是一个基于邮政编码量化社会经济劣势的综合指标。此举将社会健康决定因素(SDOH)从抽象概念转变为核心临床算法的可量化输入,迫使医疗系统将患者的生存环境与其生物学风险直接关联,为解决健康不平等问题提供了新依据。
数字健康的新机遇:PREVENT的精确性为数字健康领域开辟了“精准预防”的新市场。AHA、PAHO/WHO等组织已推出官方计算器和应用 ,而像Lark Health这样的公司则利用AI教练,为PREVENT识别出的特定风险分层人群提供更具针对性的生活方式干预。

2)后PREVENT时代:AI驱动的下一波浪潮
PREVENT代表了当前基于传统风险因素预测的顶峰,但下一个范式转变已经出现在地平线上。人工智能,特别是深度学习,正开启一个全新的时代,它能从非侵入性检查中发现人类无法察觉的风险信号。
“眼底一张相,心脏知几分”:利用深度学习分析视网膜眼底图像,AI可以识别出与全身心血管健康状况密切相关的微血管模式。Toku公司的CLAiR平台、Heart Eye Diagnostics的Dr. Noon CVD等产品,旨在通过常规眼科检查进行低成本、无创的心血管风险筛查,其准确率已达到临床应用的门槛。
心电图的再解读:AI模型能够从标准的12导联心电图(ECG)中,识别出心力衰竭、主动脉瓣狭窄等结构性心脏病的早期风险,而这在传统上是难以实现的。Tempus公司的ECG-Low EF、Anumana的ECG-AI™ LEF等已获FDA批准的产品,正在将海量的存量ECG数据转化为全新的诊断信息,极大地提升了单次检查的价值。
AI模型并非天生客观。如果训练数据本身反映了现存的社会偏见和健康不平等,AI将会学习并可能放大这些偏见。偏见可能源于数据代表性不足(地理、种族等)、算法本身的设计,以及缺乏在多样化人群中的外部验证。为了应对这些挑战,研究界正在积极开发群体再校准、均等化赔率等技术,旨在模型开发阶段就主动地缓解偏见。对于医疗AI而言,公平性不能是事后的补充分析,它必须被视为与准确性同等重要的核心工程要求。
从存在缺陷但用心良苦的PCE,到更准确、更公平、更全面的PREVENT,我们见证了一次必要的科学再校准。而地平线上的下一场变革,将由AI驱动。这个新时代的最终成功,不仅取决于算法的预测能力,更取决于我们是否致力于以公平、透明和关注所有患者平等获益的原则来构建它们。这是一条通往更精准、更个性化、更公正的心血管医学未来的征途。
文章链接:
https://www.nature.com/articles/s41591-025-03789-2
END
撰文 | 赵亚军
编辑 | 吴苡齐
审核 | 医工学人理事会
扫码加入医工学人,进入综合及细分领域群聊,
参与线上线下交流活动

推荐阅读
点击关注医工学人

本篇文章来源于微信公众号: 医工学人








